Kortrijk Formatie
Deze pagina moet gelezen worden in de context van de pagina rond het 'geologisch paspoort van de Vlaamse ondergrond'.
Data op deze pagina worden aangevuld wanneer binnen dit project nieuwe analyses uitgevoerd worden. Op DOV en in de literatuur zijn ook nog veel andere data te vinden die niet op deze pagina verwerkt zijn.
Formele stratigrafische definitie - Nationale Stratigrafische Commissie
Boringen
Tijdelijke ontsluitingen
Data
Van de Formatie van Kortrijk werden 49 stalen geanalyseerd voor korrelgrootte, van de leden van Orchies (48 stalen) en Mont-Héribu (1 staal) (Figuur 1) (Verhaegen & De Nil, 2024). Het Lid van Orchies is gekend als een zware stijve klei terwijl het Lid van Mont-Héribu zandige klei of kleiig zand bevat (Steurbaut et al., 2016).


Deze verschillen worden bevestigd in de geanalyseerde stalen. Het Orchies Lid heeft een zeer fijne mediaan van 30 ± 16 µm, t.o.v. 51 µm voor het MontHéribu Lid o.b.v. 1 staal. De top van het Lid van Orchies bevat wel meer siltige stalen, die eerder tot de Mons-en-Pévèle Formatie gerekend werden. Er is daardoor een grote variatie aanwezig in het Orchies Lid, tussen zuiver kleiige en meer siltige stalen (Figuur 1). In het Mont-Héribu Lid komt kleiig zand voor, met een fijn zandige mode van 80 µm en een d10 van 4 µm, die wijst op een hoog gehalte fijne fractie (Tabel 1).


Het glauconietgehalte van 9 gemeten stalen van het Orchies Lid in de fractie 63 µm-1 mm bedraagt gemiddeld 4 %, met een variatie tussen 0 en 15 % ( Tabel 2).
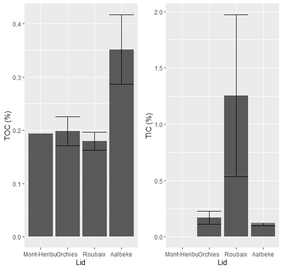
Er is een licht verhoogd organisch koolstofgehalte in de gemeten stalen, van 0,2 % met uitschieters tot 0,5 % in het Lid van Orchies. Het anorganisch koolstofgehalte is verwaarloosbaar o.b.v. de gemeten stalen, m.u.v. het staal van het Orchies Lid uit de boring te Vilvoorde, waar dit 0,5 % bedraagt (Figuur 3).
Sleutelreferenties
Cornet, F.L., 1874. Compte‐rendu de l’excursion du 31 août aux environs de Ciply. Bull. Soc. Géol. France, (3), 2, 567‐577.
De Ceukelaire, M. & Jacobs, P., 1998. Indeling van de Formatie van Kortrijk op basis van kwalitatieve interpretative van reistiviteitsmetingen. Natuurwetenschappelijk Tijdschrift, 78, p 27‐51, 13 fig.,1 tab.
De Coninck, J., 1975. Microfossiles à paroi organique de l’Yprésien du Bassin belge. Belg. Geol.Dienst, Professional Paper, 1975/12, 151p.
De Coninck, J., Geets, S. & Willems, W. 1983 ‐ The Mont‐Héribu Member: Base of the Ieper Formation in the Belgian Basin. Tertiary Res., 5 (2), 83‐104.
de Heinzelin, J. & Glibert, M., 1957. Lexique Stratigraphique International. Vol. I. Europe, Fasc. 4a: France, Belgique, Pays‐Bas, Luxembourg. Fasc. 4a VII: Tertiaire. 217 p., 15 maps. Congrès Géologique International ‐ Commission de Stratigraphie, Mexico, 1956. Centre National de la Recherche Scientifique, Paris, VIIe, 1957
De Moor,G. & Geets, S., 1975. Application de quelques méthodes sédimentologiques à l’étude des dépôts éocènes du Bassin flamand. In : Synthèse des bassins sédimentaires. 9 ième Congrès International Sédimentologie 2 : 305‐ 312
Geets, S., 1988. Ieper Groep. In: Maréchal, R. & Laga,P. (eds) Voorstel Lithostratigrafische indeling van het Paleogeen. Nationale Commissie Stratigrafie. Commissie Tertiair p 81‐113
Geets, S. 1990 ‐ The evolution of the grain‐size distribution in the sediments of the Ieper Formation in Belgium. Bull. Belg. Ver. Geol., 97 (1988), 3‐4, 451‐456.
Geets, S., Maréchal, R., Laga, P., 2000. Lithostratigrafie van het Paleogeen (Nl/Fr). Stratigrafische Commissie Tertiair.
Gosselet, J. 1874 ‐ L’étage éocène inférieur dans le nord de la France et en Belgique. Bull. Soc. Géol. France, 3e s., 2, 598‐617.
Gulinck M., 1965. Aperçu général sur les dépóts éocènes de la Belgique. Bull. Soc. Géol. France, 7ième série, t.VB, p.222‐ 227.
Gulinck, M. 1967 ‐ Profils de l’Yprésien dans quelques sondages profonds de la Belgique. Bull. Soc. belge Géol., 76, 109‐113
King, C., 1990. Eocene stratigraphy of the Knokke borehole(Belgium). In: Laga P. & Vandenberghe, N., The Knokke well (11E/138) with a description of the Den Haan (22W/276) and Oostduinkerke (35E/142) wells. Mem. Expl. Cartes Géol. et Min. Belgique, N°29 :67‐102.
Laga P. & Vandenberghe, N., 1990. The Knokke well (11E/138) with a description of the Den Haan (22W/276) and Oostduinkerke (35E/142) wells. Mem. Expl. Cartes Géol. et Min. Belgique, N°29
Maréchal, R., 1993. A new lithostratigraphic scale for the Paleogene of Belgium. Bulletin Belgische Vereniging voor Geologie, 102 (1‐2), 215‐229.
Mohammad, W. (ed.), (2009). The NIRAS‐ONDRAF Kallo 1&2 boreholes: the Ypresian cored section 254‐410m depth. KULeuven Report 120p.
Ortlieb, J. & Chelloneix, E. 1870 ‐ Etude géologique des collines tertiaires du Département du Nord comparées avec celles de la Belgique. Quarré & Castiaux, Lille, 228 p.
Steurbaut, E., 1988. The Ypresian in the Belgian Basin. Bull. Belg. Ver. Geol. T 96 fasc 4 (1987): 339‐351.
Steurbaut, E., 1998. High –resolution holostratigraphy of Middle Paleocene to Early Eocene strata in Belgium and adjacent areas. Palaeontographica Abt.A, Bd 247, Lfg.5‐6: 91‐156
Steurbaut, E., 2006. Ypresian. Geologica Belgica 9/1 : 73‐93.
Steurbaut E. & Nolf, D., 1986. Revision of Ypresian stratigraphy of Belgium and northwestern France. Meded. Werkgr. Tert. Kwart. Geol. 23, 4: 115‐172.
Steurbaut, E. , De Ceukelaire,M., Lanckacker T., Matthijs, J., Stassen, P., Van Baelen H., Vandenberghe, N., 2016. Lithostratigraphy Ieper Group. http://ncs.naturalsciences.be/paleogene‐neogene/ieper‐group
Vandenberghe N., Laga P., Vandormael C. and Elewaut E., 1991. The geophysical log correlations in the leper Clay sections in Belgium. In: Dupuis C., De Coninck J. and Steurbaut E., 1991. The Ypresian stratotype. Bull. Soc. belge Géol., (1988) v.97, fasc.3‐4, p.437‐440, 8 plates.
Van Marcke, P. & Laenen, B., Wouters, L. (contr.),2005. The Ypresian Clays as potential host rock for radioactive waste disposal: an evaluation. NIROND TR 2005‐01 149p
Wouters L. & Vandenberghe N., 1994. Geologie van de Kempen.Een synthese. NIRAS‐ ONDRAF, Brussel pp 208.