Maldegem Formatie
Deze pagina moet gelezen worden in de context van de pagina rond het 'geologisch paspoort van de Vlaamse ondergrond'.
Data op deze pagina worden aangevuld wanneer binnen dit project nieuwe analyses uitgevoerd worden. Op DOV en in de literatuur zijn ook nog veel andere data te vinden die niet op deze pagina verwerkt zijn.
            Formele stratigrafische definitie - Nationale Stratigrafische Commissie
      
      
    
    
            Referentiesecties
      
      
    
    
            Boringen
      
      
    
            Tijdelijke ontsluitingen
      
      
    
    Data
Van de Formatie van Maldegem werden 5 stalen geanalyseerd voor korrelgrootte, van het onderste zandige Wemmel Lid (Verhaegen & De Nil, 2024). Dit lid is zeer gelijkaardig aan de onderliggende Lede Formatie.
 
 
De stalen uit deze studie bestaan uit fijn zand met een mediaan van 111 ± 14 µm (Figuur 1). Eén staal genomen net boven het contact met de Lede Formatie heeft een tweede grovere mode rond 500 µm, dat als basisgrind geïnterpreteerd kan worden.
 
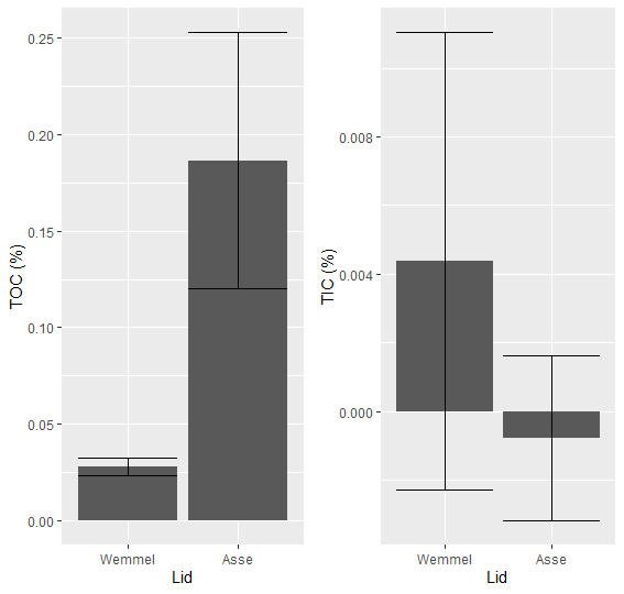
Er is een beperkte hoeveelheid glauconiet aanwezig, meer dan in de onderliggende Lede Formatie (3,1 ± 2,4 %) (Tabel 2). Het gehalte (an)organische koolstof is verwaarloosbaar (Tabel 3).
 
Sleutelreferenties
GEETS, S., MARÉCHAL, R., LAGA, P., 2000. Lithostratigrafie van het Paleogeen (Nl/Fr). Stratigrafische Commissie Tertiair.
GULINCK, M. 1965 - Le passage du Bartonien au Rupélien dans la région Boom-Malines. Bull. Soc. belge Géol., 74, 115-119.
GULINCK, M. 1969 - Le Sondage de Kallo (au nord-ouest d’Anvers). I. Coupe résumée des terrains traversés au sondage de Kallo et profil géologique NS passant par Woensdrecht-Kallo-Halle.Mém. expl. Cartes Géol. Min. Belg., 11, 3-7.
JACOBS, P. 1975 - Bijdrage tot de litostratigrafie van het Boven-Eoceen en het Onder-Oligoceen van noordwest België. RUG, onuitgegeven doctoraatsverhandeling, 182 p. en bijlagen.
JACOBS, P. 1978 - Litostratigrafie van het Boven-Eoceen en het Onder-Oligoceen in Noordwest België, Prof. Paper, Belg. Geol. Dienst, 151, 92 p. 
JACOBS, P. 1998 - Monografie van de lithostratigrafie van het Midden- en Boven-Eoceen in het westelijk Belgisch Bekken. Natuurwet. Tijdschr., 78, 160-183.
LERICHE, M. 1921 - Monographie géologique des collines de la Flandre française et de la province belge de la Flandre occidentale (Collines de Cassel et des environs de Bailleul). Mémoires pour servir à l’Explication de la Carte Géologique détaillée de la France. Paris, Imprimerie nationale, 112 p.
RUTOT, A. 1882 - Résultats de nouvelles recherches dans l’Eocène supérieur de la Belgique. IV. Résolution de la question du Tongrien et du Wemmelien. Création du système Asschien. Ann. Soc. roy. Malac. Belgique, 17, Bulletin des séances, CLXXXI-CLXXXV.
VINCENT, G. & LEFEVRE, T. 1872 - Note sur la faune laekenienne de Laeken, de Jette et de Wemmel. Ann. Soc. roy. Malac. Belgique., 7, 49-79.
VINCENT, G. & RUTOT, A. 1878 - Note sur l’absence du système Diestien aux environs de Bruxelles et sur les observations relatives au système Laekenien. Ann. Soc. Géol. Belgique, 5, 55-66.
